塔斯娱乐资讯网

名单已出!邵阳省考第一批体检名单公示! 📌 发布单位: 邵阳市公务员局 📌

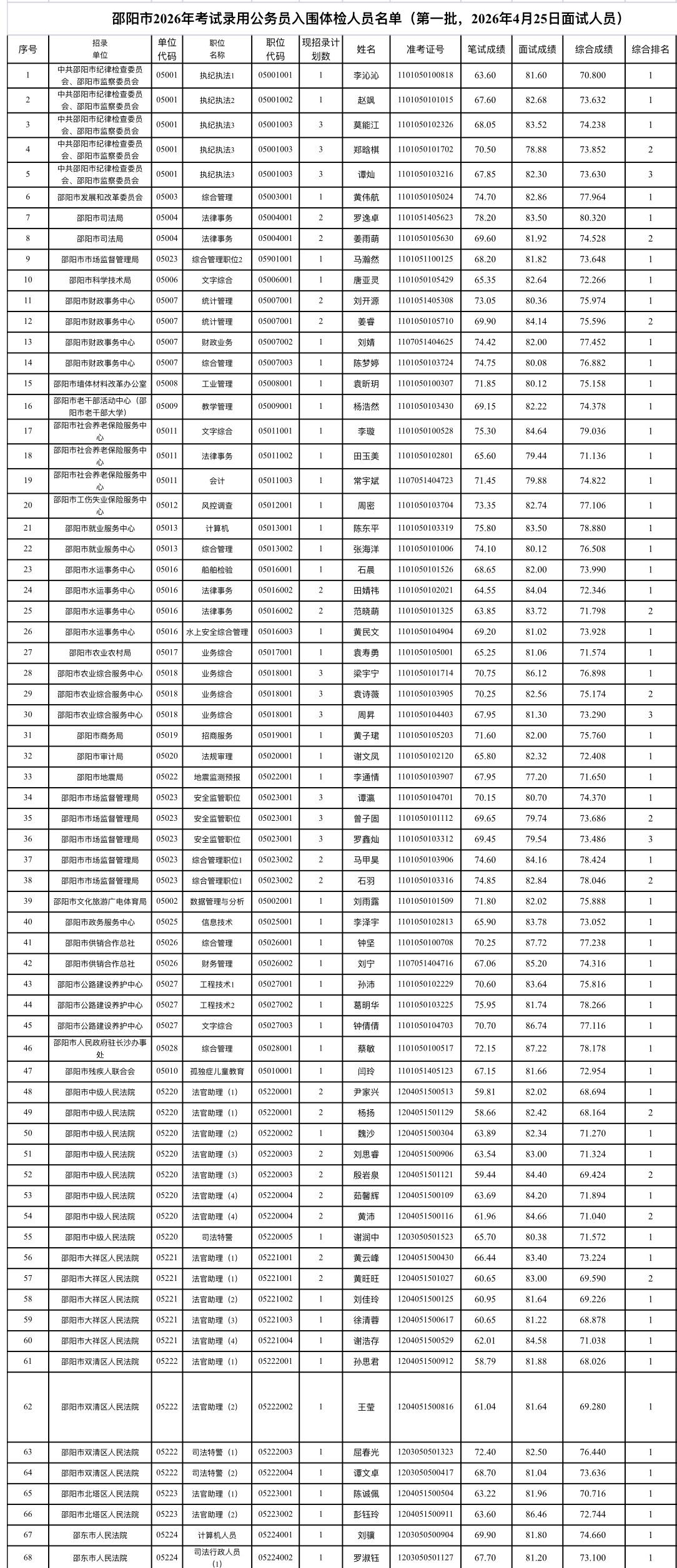
名单已出!邵阳省考第一批体检名单公示!

📌 发布单位: 邵阳市公务员局
📌 通知信息: 2026年邵阳市公务员考试第一批体检名单已公布,根据综合成绩从高到低确定体检对象。
📌 重要日期: 2026年4月25日公布第一批面试人员体检名单
📌 后续提醒: 入围考生请保持通讯畅通,做好体检准备。未入围的考生不要灰心,继续关注后续机会。
省考 公务员考试 体检名单 邵阳省考 湖南事业单位 考公 考编