名单已出!邵阳省考第一批体检名单公示!
📌 发布单位: 邵阳市公务员局
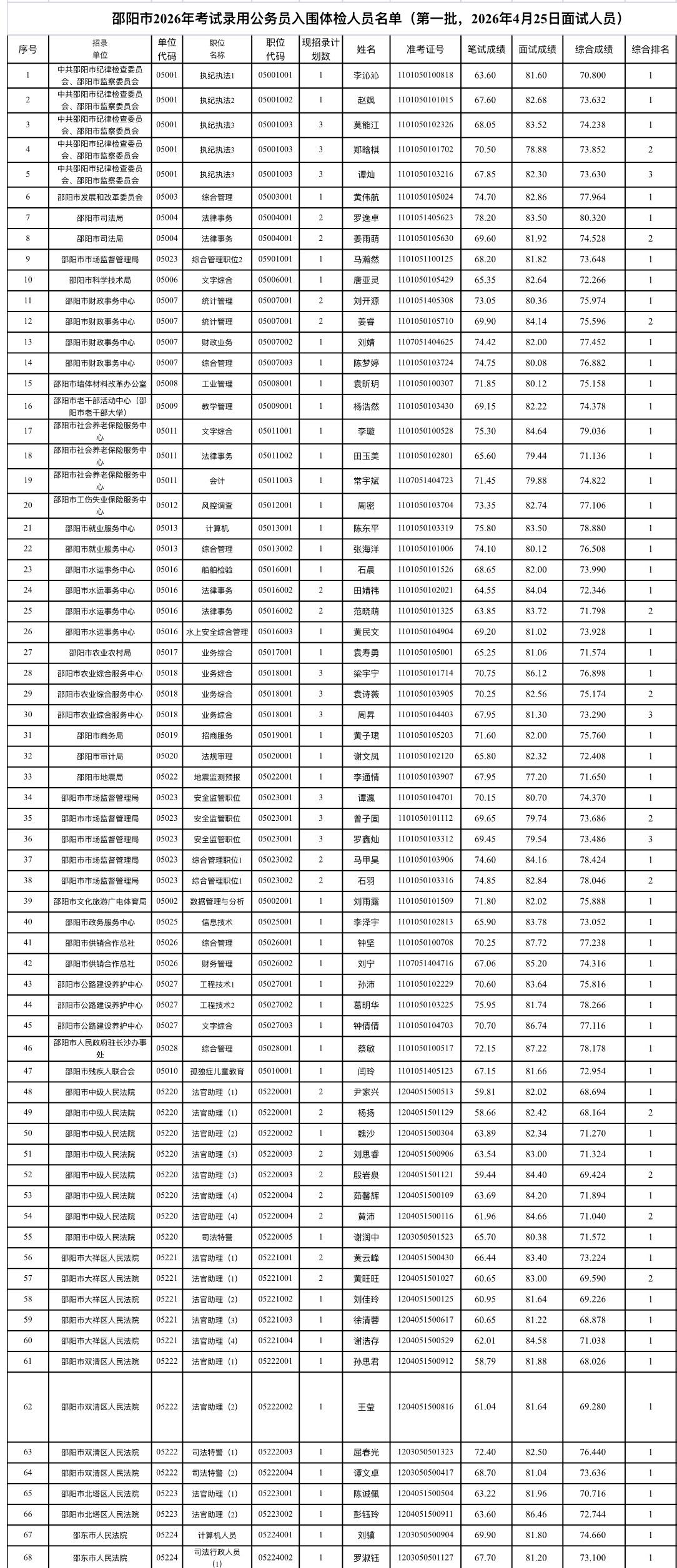
🔹 通知信息: 2026年邵阳市公务员考试第一批体检名单已公布,涉及4月25日面试人员
🔹 重要日期: 2026年4月25日发布
🔹 后续提醒: 入围考生请保持通讯畅通,做好体检准备;未入围考生可继续关注后续批次
省考 公务员考试 体检名单 邵阳省考 湖南事业单位 考公 考编

名单已出!邵阳省考第一批体检名单公示!
📌 发布单位: 邵阳市公务员局
🔹 通知信息: 2026年邵阳市公务员考试第一批体检名单已公布,涉及4月25日面试人员
🔹 重要日期: 2026年4月25日发布
🔹 后续提醒: 入围考生请保持通讯畅通,做好体检准备;未入围考生可继续关注后续批次
省考 公务员考试 体检名单 邵阳省考 湖南事业单位 考公 考编
